Hong Kong Trip — May 16-31, 2024
CHAOS: A rush & emergency trip to Hong Kong — my dad was very sick and he stayed at the Prince Wales Hospital (PWH) according to my dad’s female friend called me and said, “the doctor said that he had a stroke and he is in a serious critical situation.” So I started to search air tickets to HK right after getting off the phone with her. Thanks God that I got air tickets to HK the next day. I was confused and worried about my dad’s urgent situation. I was afraid of not being able to see my dad the very last time.
GOT TO HONG KONG: on May 16 at 9:00 a.m. My wife and I saw our uncle and aunt at the airport. I feel a little released when I saw them. They always help us and love us. We left the HK International Airport terminal and we walked to the bus terminal to find A41 bus. Finally, we found A41that brought us to Alva Hotel by Royal to drop off our luggages first. The bus stopped at the entrance of the hotel (there is also a 7-Eleven there as well, so convenient). After we checked in and settled down, we started walking to the PWH that was just approx. 15-20 minutes away from the hotel. However, it took us a very long time walking, we got lost, felt frustrated and confused (because of jet lagging after the long flight, I could not be able to sleep on the plane). I was worried about not able to find the way to see my dad. Finally, we got there, with asking whole bunch of pedestrians for direction, after more than an hour or so.
DAD WAS STABLE: When I went there, my dad was conscious with tubes on his face. I am glad that we get there in time. He recognized me and my wife. After that, we went to PWH every day to see him mostly afternoon.
THE DARKEST HOURS ARE APPROACHING: When I saw my dad’s situation got worse. Fortunately, he saw us and recognized us. On May 20, my dad passed away at night when I came to the hospital to visit him. May My Lord takes my dad and brings him to unite with my mom, my uncle and my grand parents and other relatives in heaven.
Thank you God for giving us this opportunity to keep company of my dad until the end.
From my memory, my dad is a stubborn person and a traditional father figure (hard to express his feeling),
and he tired so hard to take care of me after my mom passed when I was 19 years old.
He was a handy and capable man. He gave me the opportunity to study abroad, so I could study art in college.
He is a good cook even though he always insisted he did not know how to cook (compared to my mom’s cooking).
I don’t think I could say I knew my dad well. There are things that I don’t understand why he did things in certain ways. Only thing I can say that he is a good father. He loved me and taught me a lot of things that he did not even realize.
Thank you, dad!
Dear Lord, thank you for your grace and giving the precious salvation to my family.
You deserve every praise in the world. May Your Name be glorified in my life.
Cover of 2024 Hong Kong Trip
Inside cover and intro page
Map and table of contents
Taiwan Taoyuan Airport
Hong Kong
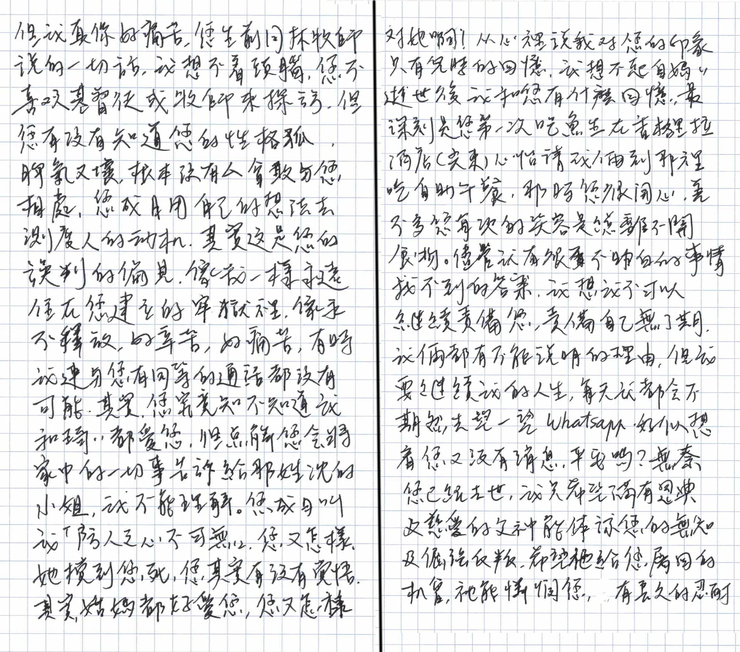
Dad's images and letter to my dad
Letter to my dad (continued)
Letter to my dad (continued)
Back cover of the sketchbook
